对夹式蝶阀

对夹式蝶阀

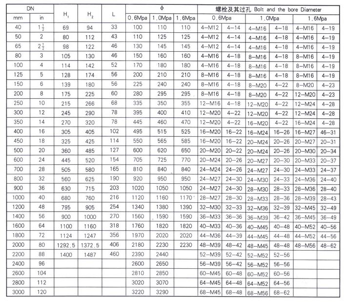
概述: 对夹式蝶阀根据顾客需要,可供应加长节,接于H2尺寸上端,以提高操作高度。

服务热线

服务热线:

所属分类:

产品描述

360截图20250508164104315.jpg

  对夹式蝶阀阀体外形及连接尺寸注:

  l、连接尺寸符合GB4216或GBl2380。

  2、根据长度符合GBl2221。

  3、根据顾客需要,可供应加长节,接于H2尺寸上端,以提高操作高度。

360截图20250508164203756.jpg

上一篇:

下一篇: